• Telefon 0224 503 5363

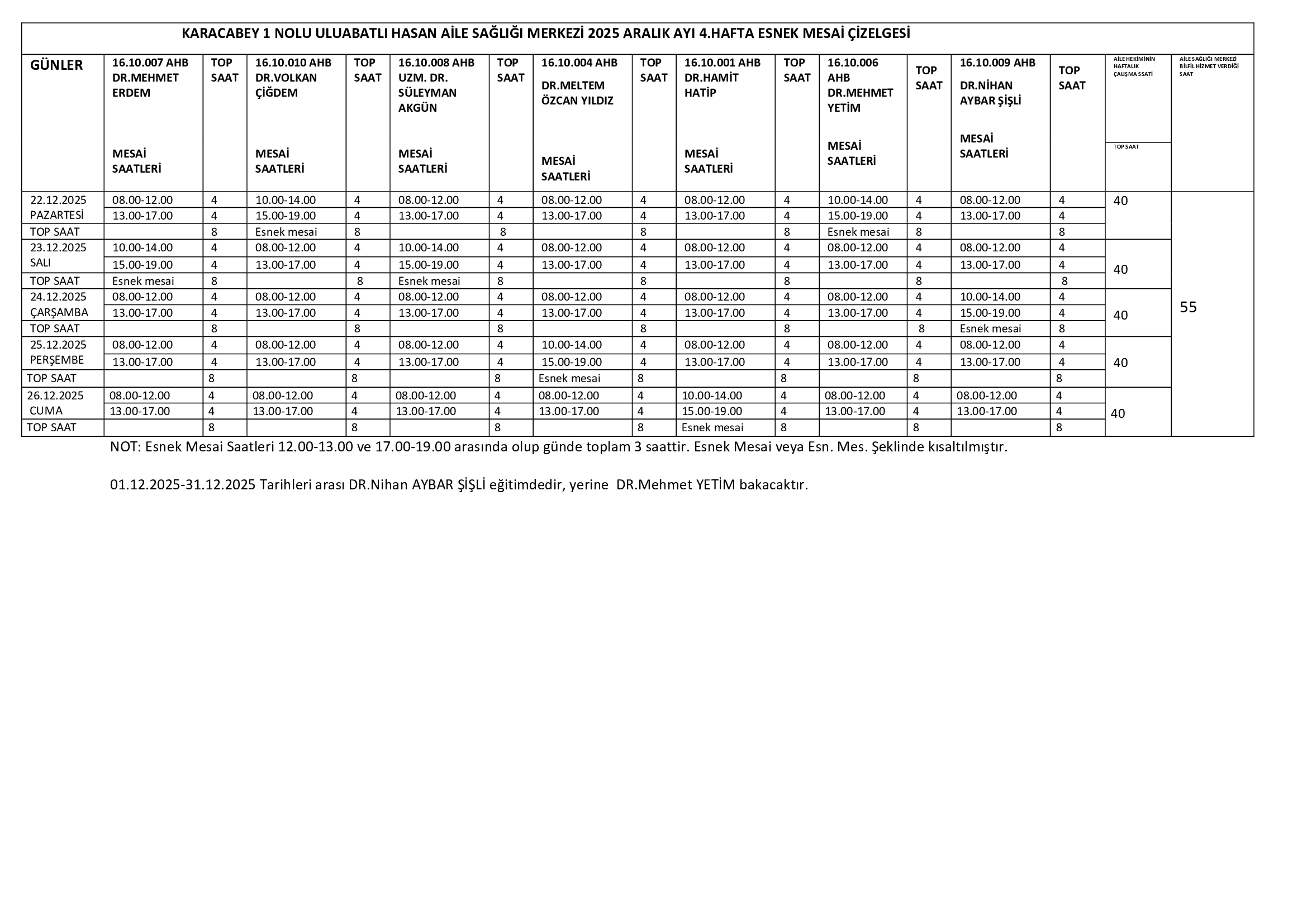
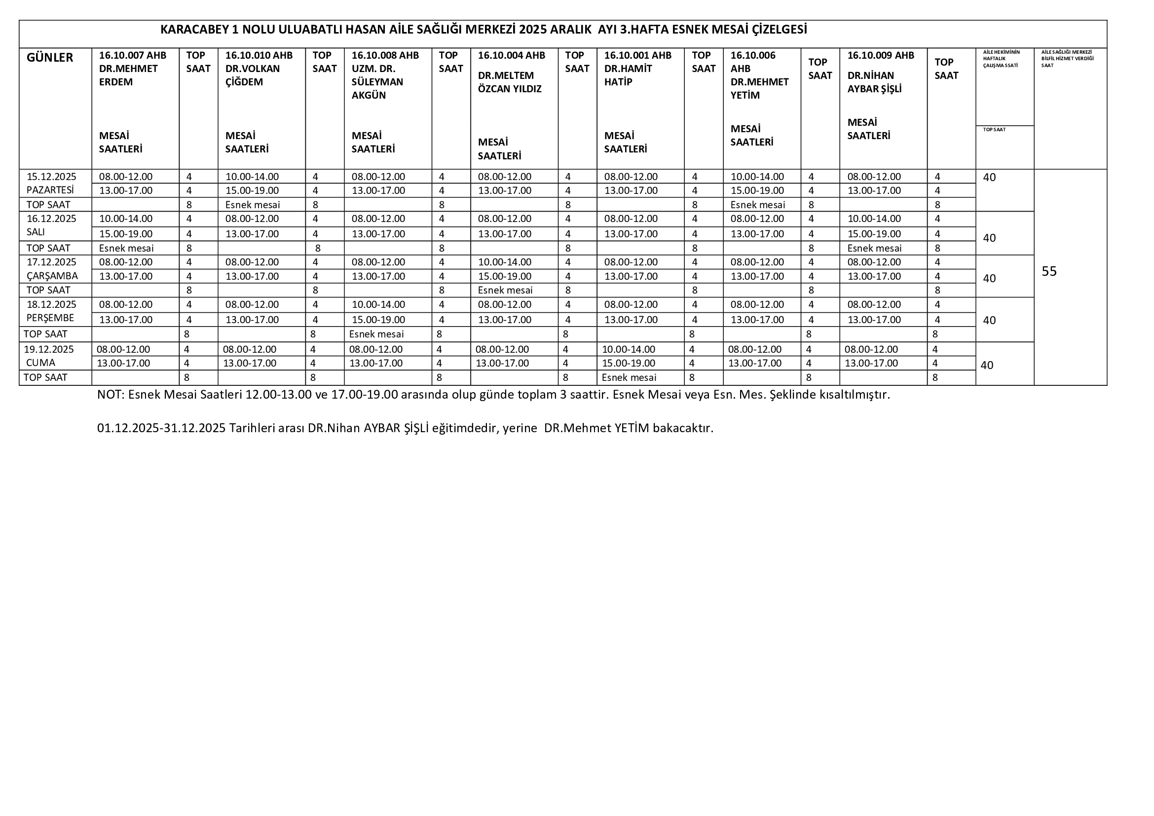
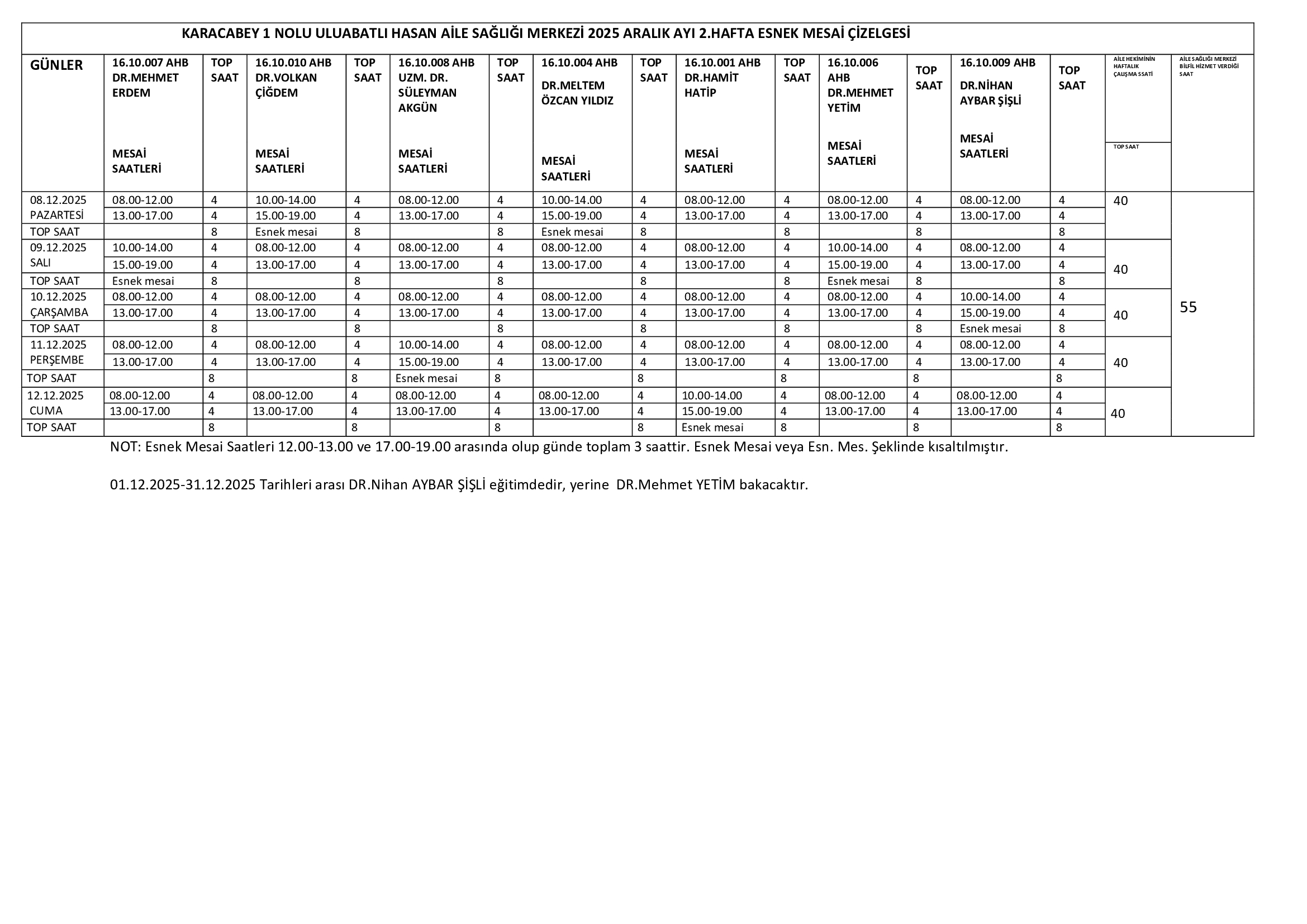
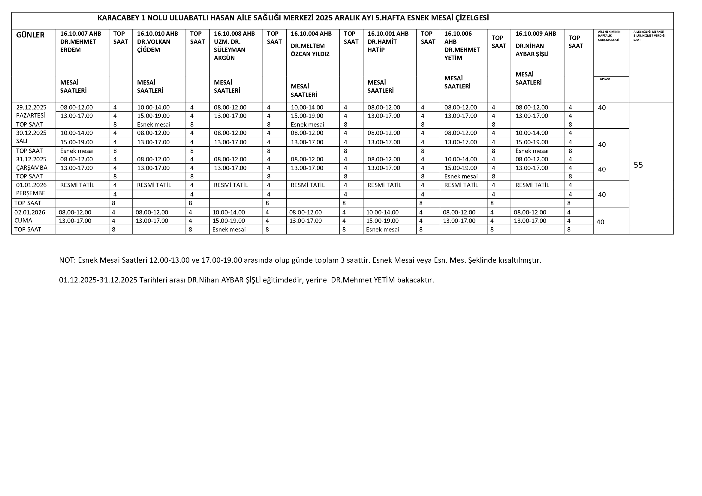
Çalışma Saatlerimiz

 Ana Sayfa / Sayfalar / Çalışma Saatlerimiz